Expression Mat Definition

A single term may contain an.
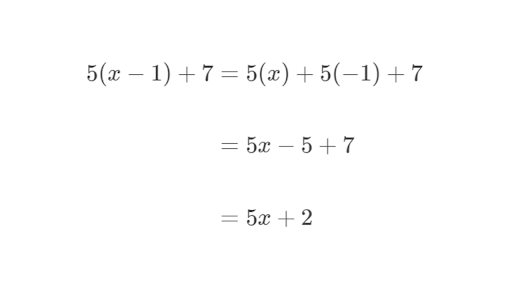
Expression mat definition. To simplify math expressions using the order of operations start by solving all of the terms in parentheses. In mathematics an expression or mathematical expression is a finite combination of symbols that is well formed according to rules that depend on the context. Illustrated definition of expression. An expression is a mathematical phrase that combines numbers and or variables using mathematical operations.
For example x is the coefficient in the expression x a b and 3 is the coefficient. A numerical expression in mathematics can be a combination of numbers integers combined using mathematical operators such as addition subtraction multiplication or division. Pairs of expression mats can be modified to make an equation mat. This math operation can be addition subtraction multiplication and division.
Simplifying expressions on an expression mat two region expression mats core connections course 3 an expression mat is an organizational tool that is used to represent algebraic expressions. For example variables and or numerals that appear alone or in combination with operators are expressions. Mathematics terms and definitions. Examples of numerical expressions we can form a numerical expression by combining numbers with various mathematical operators.
The structure of an expression is. An expression is a group of terms the terms are separated by or signs so now we can say things like that expression has only two terms or the second term is a constant or even are you sure the coefficient is really 4. A numerical quantity attached to a term usually at the beginning. Numbers symbols and operators such as and times grouped together that show the value of something.
Next solve the exponents then perform any necessary multiplication. The upper half of an expression mat is the positive region and the lower half is the negative region. Move on to solving division then finish up with adding and lastly subtracting. The term of a mathematical expression is separated from other terms with either plus or minus signs and consist of the product a coefficient and one or more variables.
This is a glossary of math definitions for common and important mathematics terms used in arithmetic geometry and statistics.